Array ( ) 1
No products
Check out
CAS No:1195768-06-9 Chemical Name:GSK2118436B
CAS No:1042385-75-0 (Hydrate) 1110813-31-4 (Anhydrous)
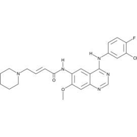
CAS No: 1110813-31-4 Chemical Name: N-[4-[(3-chloro-4-fluorophenyl)amino]-7-methoxy-6-quinazolinyl]-4-(1-piperidinyl)-(2E)-butenamide