Array ( ) 1
No products
Check out
CAS 6698-26-6
CAS No: 99044-57-2 Chemical Name: 2-Ethynyl-Ade; (2R,3R,4S,5R)-2-(6-Amino-2-ethynylpurin-9-yl)-5-(hydroxymethyl)oxolane-3,4-diol
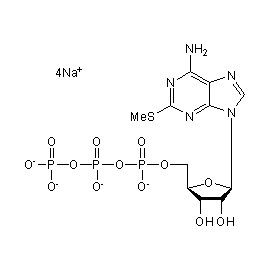
CAS No:100020-57-3 Chemical Name: 2-Methylthioadenosine-5'-triphosphate tetrasodium salt