Array
(
)
1
		

Natural Products

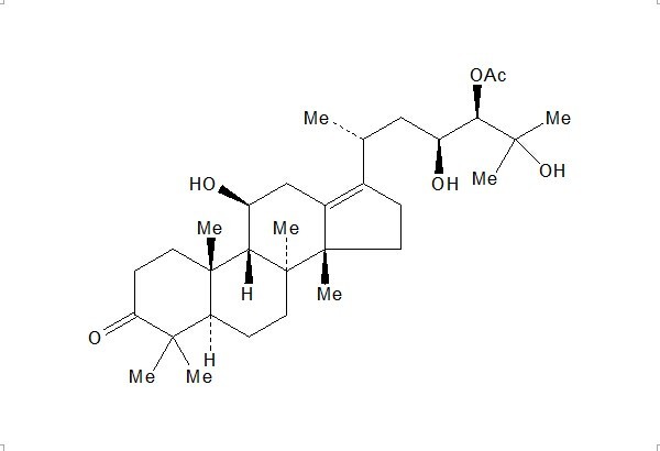
Alisol A 24-acetate View larger

Alisol A 24-acetate

APB0050

CAS No :18674-16-3

500 Items

Molarity Calculation Cart®

HOW TO ORDER

$12.00

$12.00 per mg

Quantity Discount Table - Order More To Get More Price Discount

QuantitymgUnit Price ($/mg or $/Unit)Final Price
15 $10.20 Total: $51.00
110 $8.64 Total: $86.40
125 $7.32 Total: $183.00
150 $6.24 Total: $312.00
1100 $5.40 Total: $540.00

Data sheet

Molecular FormulaC32H52O6
Molecular Weight532.75
CAS Numbers18674-16-3
Storage Condition0°C (short term), -20°C (long term), desiccated
SolubilityDMSO
Purity98% by HPLC