Array
(
)
1
		

Ultra Pure Pharmacological Standard

Sodium Aescinate View larger

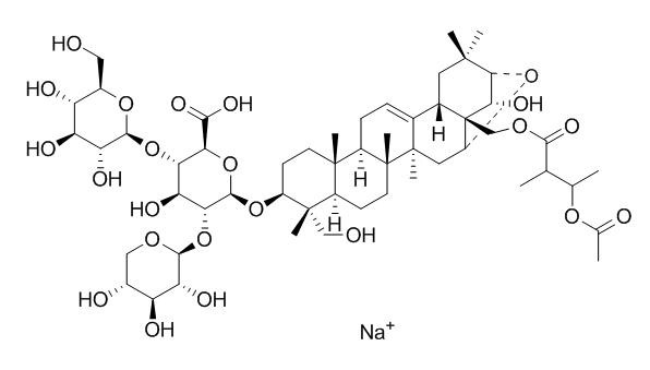
Sodium Aescinate

CFN99509

CAS : 20977-05-3

1000 Items

Molarity Calculation Cart®

HOW TO ORDER

$137.00

$137.00 per 20mg

Data sheet

Molecular FormulaC54H84NaO23
Molecular Weight1124.2
CAS Numbers20977-05-3
SolubilityDMSO
Purity98% by HPLC